CGPA to GPA Percentage Converter
Free to Use
Easy to Use
100% Accuracy
Intl Standards
CGPA to GPA & Percentage Converter (Free Online Tool 2025)
Introduction
These days, students often move between countries to get better education and better job prospects. Different universities worldwide use other ways to grade students, such as CGPA (Cumulative Grade Point Average), GPA (Grade Point Average), and percentage. This can be hard for students who must change their scores to a different style for job or school applications.
You can use our CGPA to GPA Converter (Free Online Tool 2025) to help you. Students can quickly change their scores into the format that colleges in the US, UK, Canada, Australia, India, Pakistan, and other places need with just one click.
This article will guide you through:
- What do CGPA, GPA, and % mean?
- How are the school setups of different countries different
- Formulas and methods for converting
- A free web-based tool that makes things easier
- FAQs for students from other countries
What is CGPA?
The Cumulative Grade Point Average, or CGPA, is the average of all your grades in all your classes. Depending on the school, it is usually based on a 10-point or 7-point measure.
If a student scored 9.0, 8.5, 9.2, and 8.8 in four subjects:
So, the studentโs CGPA = 8.88
What is GPA?
In places like the US, Canada, and the Middle East, GPA (Grade Point Average) is used a lot. A 4.0 rating is often used to measure it.
- 4.0 GPA = A grade (Excellent)
- 3.0 GPA = B grade (Good)
- 2.0 GPA = C grade (Average)
- 1.0 GPA = D grade (Poor)
What is a Percentage?
A percentage is the easiest method to understand when points are given as a fraction of 100. Colleges often provide board exam scores in India, Pakistan, and Bangladesh.
Formula for Percentage:

If you score 450 marks out of 500:

CGPA to GPAโ Conversion Formula
It is necessary to change CGPA to GPA because most foreign universities in the US and Canada use a 4.0 scale for GPA.
Formula:
If your CGPA is 8.2 (on a 10-point scale):

So, your GPA = 3.3 (approx.)
CGPA to Percentage Conversion Formula (India โ UGC/CBSE Standard)
Most universities in the USA and Canada use a 4.0 GPA scale, while countries like India and Pakistan follow a 10-point CGPA scale. To standardize, students must convert.
Formula:

If your CGPA = 8.5:

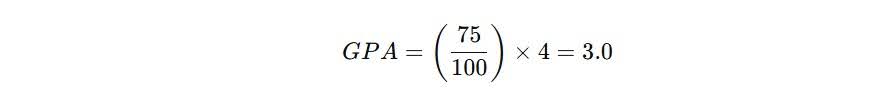
Percentage to GPA Conversion
Sometimes, students may only have numbers and need a GPA to get into a foreign school.
Formula:

Example:
- If you have 75% marks:
Country-Specific Grading Systems
1. India (10-Point CGPA System)
- CBSE/UGC follows a 10-point scale.
- Formula: Percentage = (CGPA โ 0.5) ร 10.
- Widely required for US, UK, and Canada applications.
2. USA (4.0 GPA System)
- GPA is measured directly on a 4.0 scale.
- Many colleges ask students from India and Pakistan to change their 10-point CGPA to โ 4.0 GPA.
- Example: 8.0 CGPA โ 3.2 GPA.
3. UK (Class System + Percentage)
- First Class: 70% and above
- Upper Second Class: 60โ69%
- Lower Second Class: 50โ59%
- Third Class: 40โ49%
4. Pakistan
- Some schools require a 4.0 GPA, while others want a 5.0 GPA.
- Formula: First change to a number, then change to 4.0 GPA for use outside the United States.
5. Canada
- Scale of 4.0 or 4.3 GPA.
- A lot of colleges offer conversion tools straight away.
6. Australia
- GPA scale with 7 points.
- A score of 7 = High Distinction, while 4 = Pass.
Global CGPA/GPA Comparison Table
Most colleges in the United States use a 4.0 GPA.
| Country/Region | Common Scale | Top Score Equivalent |
|---|---|---|
| India (CBSE/UGC) | 10-point CGPA | 10 = 95โ100% |
| Pakistan | 4.0 GPA & 4.33 GPA | 4.0 = 85โ100% |
| USA | 4.0 GPA | 4.0 = A / 90โ100% |
| Canada | 4.0 GPA | 4.0 = A+ |
| UK | Percentage / Honours Classes | 70%+ = First Class |
| Australia | 7-point GPA | 7.0 = High Distinction |
Why Use an Online Convert CGPA to GPA & Percentage?
- Instant math without making mistakes by hand
- Helps many countries, including India, the US, the UK, Canada, Australia, Pakistan, and the Middle East.
- Free and correct,
- easy for students applying abroad to use
Best Practices for Students
- Always check the university’s written rules on how to convert.
- Online tools should only be used for rough estimates, not official reports.
- Ask for a WES (World Education Services) review if you need to.
Conclusion
It can be hard for students to change their grades when they go to school in a different country. This is because of globalization and the rise of foreign education. Our CGPA to GPA & Percentage Converter (Free Online Tool 2025) makes this easy and quick.
There is no difference between Indian students going to the US, Pakistani students applying to Canada, and Australian graduates moving to the UK. This tool makes sure that your academic success is shown correctly.
Frequently Asked Questions
To find the answer, divide the CGPA by ten. 8.2 CGPA is the same as 3.28 GPA.
Yes, but most colleges need to see your grade point average (GPA) in a range of 4.0.
Most of the time, a GPA of 3.0 or higher is good. Top colleges need a GPA between 3.5 and 4.0.
Yes. First, use GPA to find CGPA, and then use UGC’s method.

